2016廣東珠海斗門區安全生產監督管理局招聘安全生產監督檢查員35人公告【招35人】
因工作需要,斗門區安全生產監督管理局擬面向社會公開招聘安全生產監督檢查員35名(以下簡稱安監員),現公告如下:
一、招聘崗位及薪酬待遇
招聘崗位為安全生產監督檢查員,主要承擔轄區內的日常安全生產監督檢查工作。
聘用人員的薪酬待遇按我區安全生產監督檢查員規定標準執行。
二、應聘條件及招聘人數
(一)基本條件
1.具有中華人民和國國籍;
2.遵守中華人民共和國憲法和法律;
3.具有良好的品行和職業道德,無違法犯罪記錄;
4.具備崗位所需的專業或者技能條件;
5.具備適應崗位要求的身體條件。
尚未解除紀律處分或者正在接受紀律審查的人員,以及刑事處罰期限未滿或者涉嫌違法犯罪正在接受調查的人員,不得應聘。
(二)具體資格條件及各崗位招聘人數
詳見附件1:《珠海市斗門區公開招聘安全生產監督檢查員崗位一覽表》。
三、招聘程序
(一)報名
1.報名方式:
①網上報名,郵箱:dmaj2005@sohu.com;
②配送資料報名,配送地址:珠海市斗門區井岸鎮港霞東路333號斗門區安監局,郵編519100。
2.報名時間:時間2016年1月18日(星期一)0時至2016年1月31日(星期日)24時。
3.報名資料:
報名時只需要提交下列資料的復印件;領取準考證時,需提供下列資料的原件進行查驗。
①《斗門區安全生產監督管理局公開招聘安全生產監督檢查員報名表》(見附件2,自行下載后本人填寫并簽名);
②身份證、學歷、學位證、戶口本(報考有戶籍限制的應聘者需提供);
③近期彩色免冠同版一寸照片2張或電子版。
(二)資格審查
如報名材料不齊或不符合報名資格的不予參加筆試。參加考試人員名單、領取準考證時間及原件查驗等事項于2016年2月3日在斗門人力資源網(http://www.dm-hr.net/)“通知公告”欄公布。
招聘人數與通過資格審查人數的比例按1∶3,如低于該比例則按比例減少招聘人數。
(三)考試
考試采取筆試加面試的方式進行。
考試總成績=筆試成績×50%+面試成績×50%。
考試總成績合格分數線為60分(四舍五入并保留兩位小數)。
1.筆試
筆試采取閉卷形式進行,側重考察應聘者基本素質及職位所需知識等,滿分100分,合格分數線為60分。
時間: 2016年2月21日(星期日)下午3:00-5:00
地點:斗門區井岸鎮,地點另行通知。
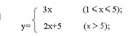
筆試成績確定后,從筆試成績合格人員中,按照成績排名確定面試人員。面試人數按各職位招聘人數分段計算,具體函數為:

其中:x代表招聘人數,y代表面試人數,y值小數點后四舍五入取整數值。
筆試合格考生達不到規定比例的,按實際合格人數確定面試人員。 筆試成績、進入面試人員名單及面試有關事項,于筆試結束后2日內在斗門人力資源網(http://www.dm-hr.net/)“通知公告”欄公布,不再電話通知。
(責任編輯:李明)
- 2025年哈爾濱商業大學下半年事業單位公開招聘工作人員資格審查工作通知
- 2025秋季廣東韶關南雄市高層次和急需緊缺專業人才招聘資格復審及面試通知
- 2025四川成都經開區(龍泉驛區)蓉漂人才薈考核招聘事業單位工作人員(第一批)面試成績及進入下一環節人公告
- 2025年河北張家口陽原縣青年晉劇院公開招聘工作人員考生綜合成績查詢及進入體檢人員名單通知
- 屏山縣事業單位2025年下半年公開考核招聘工作人員考核總成績及體檢等有關事項的公告
- 2025四川攀枝花市仁和區事業單位考核招聘博士和副高職稱及以上高層次人才進入面試考核人員面試考核成績及排名公告
- 2025四川成都經開區(龍泉驛區)蓉漂人才薈考核招聘醫衛人才筆試成績、資格復審及面試等有關事項公告
- 2025年德州平原縣事業單位引進青年人才面試通知書打印入口
- 2025下半年廣東韶關市新豐縣事業單位招聘新豐縣普查中心擬聘用人員公示
- 2025重慶市石柱縣教育事業單位面向應屆高校畢業生考核招聘總成績及進入體檢人員公告

